(disingkat PPPK, biasa disebut P3K) adalah Warga Negara Indonesia yang memenuhi syarat tertentu, yang diangkat berdasarkan perjanjian kerja untuk jangka waktu tertentu dalam rangka melaksanakan tugas pemerintahan.
Kedudukan hukum PPPK sebagai aparatur sipil negara (ASN) diatur dalam Undang-undang Nomor 5 Tahun 2014 dan turunannya pada PP Nomor 11 Tahun 2017, PP Nomor 49 Tahun 2018 tentang Manajemen Pegawai Pemerintah dengan Perjanjian Kerja dan Peraturan Badan Kepegawaian Negara tentang Petunjuk Teknis Pengadaan Pegawai Pemerintah dengan Perjanjian Kerja.
Manajemen Pegawai Pemerintah dengan Perjanjian erja (PPPK) adalah pengelolaan pegawai pemerintah dengan perjanjian kerja untuk menghasilkan pegawai pemerintah dengan perjanjian kerja yang profesional, memiliki nilai dasar, etika profesi, bebas dari intervensi politik, bersih dari praktik korupsi, kolusi dan nepotisme.
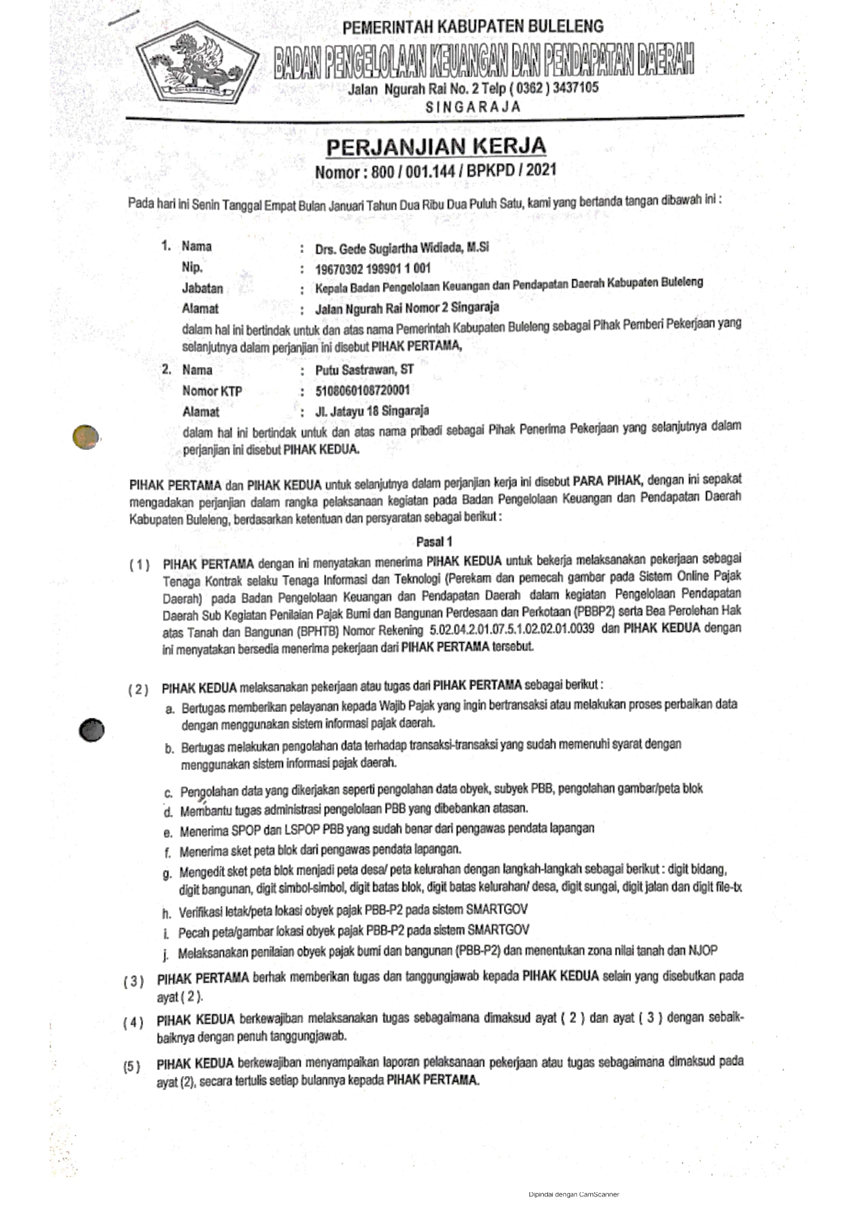
Perjanjian kerja sebagaimana dimaksud dalam pasal 3 ayat (4) PP Nomor 49 Tahun 2018 paling kurang memuat:
- Tugas;
- Target kinerja;
- Masa perjanjian kerja;
- Hak dan kewajiban;
- Larangan; dan
- Sanksi.
Kedudukan PPPK adalah:
- Melaksanakan tugas pemerintahan berdasarkan perjanjian kerja;
- Diangkat dengan perjanjian kerja sesuai kebutuhan masing-masing Instansi;
- Memiliki Nomor Induk PPPK;
- Usia paling rendah 20 tahun dan paling tinggi setahun sebelum batas usia pensiun (58 Tahun/60 Tahun);
- Masa hubungan perjanjian kerja (MHPK) paling singkat 1 tahun dan paling lama 5 tahun;
- Gaji dan tunjangan berdasarkan perundang-undangan yang berlaku. ________________________________________________________
MEJAYA-JAYA DAN PELANTIKAN CPNS & PPPKSURAT-SURAT PENDUKUNG
SURAT PERJANJIAN KERJA 1SURAT PERJANJIAN KERJA 2






































_page-0001.jpg)
_page-0002.jpg)
_page-0001a.jpg)
_page-0002a.jpg)
_page-0001b.jpg)
_page-0002b.jpg)
_page-0001Adendum.jpg)
_page-0002Adendum.jpg)
_page-0001.jpg)
_page-0002.jpg)
_page-0001.jpg)
_page-0002.jpg)
_page-0001.jpg)
_page-0002.jpg)
_page-0001.jpg)
_page-0002.jpg)
_page-0001.jpg)
_page-0002.jpg)
_page-0001.jpg)
_page-0002.jpg)
_page-0001a.jpg)
_page-0002a.jpg)
_page-0001b.jpg)
_page-0002b.jpg)
_page-0001.jpg)
_page-0002.jpg)
_page-0001.jpg)
_page-0002.jpg)
_page-0001.jpg)
_page-0002.jpg)
_page-0001.jpg)
_page-0002.jpg)


























